Wir verwenden Cookies, um Ihre Erfahrung zu verbessern. Um die neuen Datenschutzrichtlinien zu erfüllen, müssen wir Sie um Ihre Zustimmung für Cookies fragen. Weitere Informationen
Vitamin D und das Zusammenspiel mit Leptin und Myostatin
Das Thema Vitamin D begleitet uns schon über 20 Jahre rauf und runter. Ich finde es spannend, aus ganzheitlicher Sicht, wenn ich einen neuen biochemischen Aspekt lerne, in dem Vitamin D eine große Rolle spielt. Außerdem an dieser Stelle die Erinnerung, dass wir in Deutschland Vitamin D in den Monaten Oktober bis April einnehmen müssen, damit der Wert nicht auf nahezu null runtergeht.
Doch kommen wir zu der Veröffentlichung von Jeffrey Roizen aus dem Jahr 2024. Eine Anmerkung vorweg, die Auswertungen basieren aktuell auf Mäusestudien und müssen noch im Menschen bestätigt werden. Dennoch sind die Ergebnisse äußerst interessant, denn man hat festgestellt, dass eine hohe Gabe von Vitamin D dazu führt, dass der Körper mehr Leptin (das sogenannte Sättigungshormon) herstellt und gleichzeitig die Reaktion auf Leptin verbessert, sprich: die Sensitivität wird verbessert. Leptin signalisiert, dass genug Energie vorhanden ist. Das Problem mit Leptin ist, dass es auch von Fettzellen produziert wird und wenn man zu viele Fettzellen hat, reagiert der Körper immer schlechter auf Leptin, sprich eine Sättigung tritt immer später ein. Wenn sich die Sensitivität von Leptin verbessert, fühlt sich der Mensch schneller satt. Aha, und das wird durch einen guten Vitamin D-Spiegel deutlich verbessert.
Ein weiterer interessanter Aspekt ist die Auswirkung auf den Botenstoff Myostatin. Dieser Botenstoff hemmt den Muskelaufbau. Durch einen guten Vitamin D-Spiegel wird die Produktion von Myostatin verringert und somit können eben mehr und einfacher Muskeln aufgebaut werden. In diesem Zusammenhang haben die Forscher noch eine Erkenntnis gewonnen, dass nämlich mehr aufgenommene Energie in die Muskelzellen und nicht in die Fettzellen fließt, wenn der Vitamin D- Spiegel höher ist.
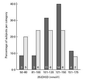
Was ist eigentlich ein normaler Spiegel für uns Menschen? Ich würde da den natürlichen Spiegel von Menschen nahe des Äquators nehmen, wo sehr wahrscheinlich die Wiege des Homo sapiens liegt. Das wurde in 2010/2011 gemacht und ergab folgendes Bild:

Der dunkle Balken beschreibt die Teilnehmer vom Stamm der Maasai und der hellere die Hadzabe. Das gefundene Mittel von 115 nmol/L entspricht 46 ng/ml. Man sieht jedoch, dass ein Spiegel bis 150 nmol/L (entspricht 60 ng/ml) vollkommen normal ist.
Was nehmen wir mit?
Vitamin D ist in vielen verschiedenen biochemischen Abläufen involviert und eben nicht nur wichtig für stabile Knochen oder die Gesundheit. Sehr wahrscheinlich ist Vitamin D auch im Menschen am Sättigungsgefühl und Muskelaufbau mit beteiligt, was einfach extrem spannend ist. Ich kann jedem nur anraten, diese 60 ng/ml das ganze Jahr über im Blut zu haben, immer kombiniert mit einer guten Versorgung mit Vitamin K2.
Quelle: High dose dietary vitamin D allocates surplus calories to muscle and growth instead of fat via modulation of myostatin and leptin signaling, Jeffrey Roizen, 2024, DOI: 10.21203/rs.3.rs-4202165/v1
Quelle: Traditionally living populations in East Africa have a mean serum 25-hydroxyvitamin D concentration of 115 nmol/l, Remko S. Kuipers et al., 2011, DOI: 10.1017/S0007114511007161
Über den Autor:
“Robert Krug beschäftigt sich seit 2016 intensiv mit dem Thema Gesundheit und Ernährung im Hinblick auf die Biochemie des Menschen. Seit 2019 veröffentlicht Robert Krug Bücher zu den Themen genetisch korrekte Ernährung und zur ganzheitlichen Betrachtung des Menschen. Doch lassen wir ihn selbst einmal zu Wort kommen, wie er seinen Weg zur Biochemie gefunden hat:
"Ich liebe es, Probleme zu lösen. Das wird mit ein Grund dafür gewesen sein, dass ich 1994 Wirtschaftsinformatik studiert und warum ich leidenschaftlich gern Software programmiert habe.
Mein Weg zur ganzheitlichen Medizin erfolgte aus der Not heraus, da ich in 2016 selbst erkrankte und von der Schulmedizin leider keine Hilfe bekam. So fing ich an, mich Stück für Stück mit meinen Problemen zu beschäftigen und zu lesen, um den Problemen auf den Grund zu gehen. Also das gleiche Vorgehen wie bei der Arbeit. Das war sozusagen der Start für mein inzwischen leidenschaftliches Interesse an der Biochemie und somit der Start meiner Reise."
”
