Wir verwenden Cookies, um Ihre Erfahrung zu verbessern. Um die neuen Datenschutzrichtlinien zu erfüllen, müssen wir Sie um Ihre Zustimmung für Cookies fragen. Weitere Informationen
Sonne bedeutet mehr als nur Vitamin D
Ich knüpfe mit dieser News an die wunderbare Darstellung von Kyra Kauffmann zum Thema Vitamin D an (siehe https://www.strunz.ch/die-25-oh-1,25-oh-vitamin-d-ratio-ein-beweis-fuer-eine-vitamin-d-rezeptor-blockade.html), denn ich habe noch ein sehr interessantes biochemisches Detail zum Thema Sonne gelernt, welches über die Produktion von Vitamin D hinausgeht.
Paul Mason war der Frage nachgegangen, wie sich die Korrelation erklären lässt, dass die Gesamtsterblichkeit im Sommer stark fällt, und ob sich das nur mit der Vitamin-D-Produktion der Haut erklären lässt. In der Auswertung von Pedro Marques-Vidal zum Thema Gesamtsterblichkeit sehen wir eine klare Korrelation zwischen den Sommermonaten und einer geringeren Gesamtsterblichkeit. Doch nun muss man der Frage nachgehen: Woran liegt das?
Wenn wir Sonne an unsere Haut lassen, produzieren wir in Deutschland in den Monaten April bis Oktober Vitamin D durch die UVB-Strahlung. So viel ist bekannt und auch die Zusammenhänge von Vitamin D und unserem Immunsystem.
Doch was passiert noch?
Hier hat Paul Mason einen spannenden Fund gemacht. Die UVA-Strahlung, die wir im Sommer auch bereits in den Morgen- und noch in den Abendstunden aufnehmen, führt dazu, dass wir vermehrt Stickstoffmonoxid-Synthese (NOS) durch die Haut ausführen und somit Stickstoffmonoxid bilden. Dieses Stickstoffmonoxid führt infolge dazu, dass sich Blutgefäße entspannen und der Blutdruck fällt. Um das zu beweisen, haben Forscher um Richard Weller insgesamt 24 Teilnehmer im Labor einer UVA-Strahlung für 20 Minuten ausgesetzt. Und siehe da, der Blutdruck fiel signifikant um 3,5 mm Hg. Das sieht man auch schon in der folgenden Darstellung, erneut über die Monate des Jahres:

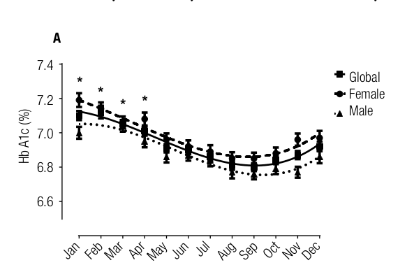
Und man fand noch einen spannenden Effekt, nämlich dass Stickstoffmonoxid die Insulinsensitivität beeinflusst und dadurch der HbA1c-Wert im Sommer ebenfalls niedriger liegt als im Winter, jedenfalls wurde dieser Effekt in Portugal festgestellt:

Was nehmen wir mit?
Sich einer gesunden Menge Sonne auszusetzen, sprich sich im Freien aufzuhalten, so dass man eine vernünftige Portion Sonne auf die Haut abbekommt, führt eben nicht nur zur Bildung von Vitamin D, sondern führt auch zur Bildung von Stickstoffmonoxid über die Haut und dieses Stickstoffmonoxid hat gleich zwei angenehme Effekte: Es verbessert die Durchblutung und lässt Insulin besser wirken, so dass der Blutzuckerspiegel im Körper eines Diabetikers Typ-2 fällt. Ganz abgesehen davon, dass Sonne auch schlicht und einfach gut fürs Gemüt ist.
Quellen:
Seasonal Variation of Overall and Cardiovascular Mortality: A Study in 19 Countries from Different Geographic Locations, Pedro Marques-Vidal et al., 2014, DOI: 10.1371/journal.pone.0113500
UVA Irradiation of Human Skin Vasodilates Arterial Vasculature and Lowers Blood Pressure Independently of Nitric Oxide Synthase, Richard B. Weller et al., 2014, DOI: 10.1038/jid.2014.27
Über den Autor:
“Robert Krug beschäftigt sich seit 2016 intensiv mit dem Thema Gesundheit und Ernährung im Hinblick auf die Biochemie des Menschen. Seit 2019 veröffentlicht Robert Krug Bücher zu den Themen genetisch korrekte Ernährung und zur ganzheitlichen Betrachtung des Menschen. Doch lassen wir ihn selbst einmal zu Wort kommen, wie er seinen Weg zur Biochemie gefunden hat:
"Ich liebe es, Probleme zu lösen. Das wird mit ein Grund dafür gewesen sein, dass ich 1994 Wirtschaftsinformatik studiert und warum ich leidenschaftlich gern Software programmiert habe.
Mein Weg zur ganzheitlichen Medizin erfolgte aus der Not heraus, da ich in 2016 selbst erkrankte und von der Schulmedizin leider keine Hilfe bekam. So fing ich an, mich Stück für Stück mit meinen Problemen zu beschäftigen und zu lesen, um den Problemen auf den Grund zu gehen. Also das gleiche Vorgehen wie bei der Arbeit. Das war sozusagen der Start für mein inzwischen leidenschaftliches Interesse an der Biochemie und somit der Start meiner Reise."
”
