Wir verwenden Cookies, um Ihre Erfahrung zu verbessern. Um die neuen Datenschutzrichtlinien zu erfüllen, müssen wir Sie um Ihre Zustimmung für Cookies fragen. Weitere Informationen
Warum Sie 10 Stunden kein Fett verbrennen!
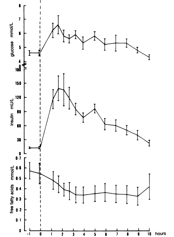
Dank Professor Ben Bikman, von dem ich so ziemlich alles über Insulin gelernt habe, möchte ich Ihnen ein weiteres Detail zum Thema Insulin vorstellen. In der Studie von J.P. Flatt wurde sechs jungen gesunden Männern ein üppiges Kohlenhydrat-Frühstück serviert mit 2000 kcal an Kohlenhydraten (500 Gramm). Das Frühstück bestand aus Brot und Marmelade wie auch Orangensaft bzw. Fruchtsaft. Zugegeben, eine ziemlich große Menge, aber schaffbar. Ich spreche aus Erfahrung vor der Umstellung meiner Ernährung im Jahr 2016.
Im Laufe der nächsten zehn Stunden hat man vier Werte gemessen: Den Respiratorischen Quotienten (kurz: RQ), Insulin, Blutzucker und freie Fettsäuren. Da Sie mich inzwischen kennen, ahnen Sie sicherlich schon, dass irgendwas mit Insulin nicht geheuer ist. Schauen wir uns die Ergebnisse an:

Der Blutzucker ist bei allen Teilnehmern nach zwei bis drei Stunden im normalen Bereich und bei einigen Teilnehmern nach vier Stunden wieder auf den Ausgangszustand zurückgesunken. Doch schauen Sie sich die Insulinkurve dazu im Vergleich an. Erst nach zehn Stunden ist Insulin auf den Ausgangswert zurück. Wir sprechen hier aber über junge und gesunde Teilnehmer.
In der Langlebigkeitsdebatte vieler Experten wird so gern über den mTor-Effekt von Eiweiß diskutiert. Dabei wird dieser hier beschriebene Effekt von Insulin – und der in unserer heutigen Gesellschaft fast normale Effekt von Zucker bzw. Kohlenhydraten – gern komplett übersehen. Wobei ich sicher bin, dass der nicht wirklich von der Wissenschaft übersehen wird. Nur hat man eben kein Medikament, um Insulin nicht so lange und stark ansteigen zu lassen. Das wäre ja auch nicht gut, denn der hohe Blutzucker muss durch Insulin verarbeitet werden, sonst kommt es zur oftmals beschriebenen Maillard-Reaktion (siehe https://www.strunz.ch/fruktose-und-hba1c.html). Diabetiker Typ-1 kennen das, wenn Sie kein Insulin spritzen.
Eine interessante weitere Erkenntnis ist in dieser Studie, dass der Körper die Fettverbrennung nahezu komplett einstellt, weil eben Insulin hoch ist. Das erkennt man am RQ:

Der RQ liegt nach diesem kohlenhydratlastigen Frühstück über 0.9 bis 1.0 und zeigt damit an: Hier wird fast nur noch Glukose verstoffwechselt. Erst gegen Ende sehen wir, dass der RQ so langsam wieder Richtung 0.8 tendiert.
Was nehmen wir aus dieser kleinen Studie mit?
Eine kohlenhydratlastige Mahlzeit erhöht den Insulinspiegel viel länger als Sie das durch eine Blutzuckermessung feststellen könnten. Das zeigen auch die Studien zum Thema Prä-Diabetes. Dieser tritt viele Jahre vor dem eigentlichen Diabetes Typ-2 auf und ist in dieser Zeit sehr einfach und sehr schnell umkehrbar. Sie müssen lediglich die Kohlenhydrate in einem Maß essen, wie es Ihr Körper verträgt. Und das stellen Sie fest, indem Sie Ihren Nüchterninsulinwert kennen. Dieser sollte unter 5 mIE/ml liegen. Senken können Sie einen zu hohen Insulinwert, indem Sie die Kohlenhydrate dauerhaft unter 120 Gramm am Tag senken.
Quelle: Use and storage of carbohydrate and fat, J.P. Flatt, 1995, DOI: 10.1093/ajcn/61.4.952S
Über den Autor:
“Robert Krug beschäftigt sich seit 2016 intensiv mit dem Thema Gesundheit und Ernährung im Hinblick auf die Biochemie des Menschen. Seit 2019 veröffentlicht Robert Krug Bücher zu den Themen genetisch korrekte Ernährung und zur ganzheitlichen Betrachtung des Menschen. Doch lassen wir ihn selbst einmal zu Wort kommen, wie er seinen Weg zur Biochemie gefunden hat:
"Ich liebe es, Probleme zu lösen. Das wird mit ein Grund dafür gewesen sein, dass ich 1994 Wirtschaftsinformatik studiert und warum ich leidenschaftlich gern Software programmiert habe.
Mein Weg zur ganzheitlichen Medizin erfolgte aus der Not heraus, da ich in 2016 selbst erkrankte und von der Schulmedizin leider keine Hilfe bekam. So fing ich an, mich Stück für Stück mit meinen Problemen zu beschäftigen und zu lesen, um den Problemen auf den Grund zu gehen. Also das gleiche Vorgehen wie bei der Arbeit. Das war sozusagen der Start für mein inzwischen leidenschaftliches Interesse an der Biochemie und somit der Start meiner Reise."
”
