Wir verwenden Cookies, um Ihre Erfahrung zu verbessern. Um die neuen Datenschutzrichtlinien zu erfüllen, müssen wir Sie um Ihre Zustimmung für Cookies fragen. Weitere Informationen
Migräne verbessern!
In den letzten Jahren wird ein Thema immer lauter und häufiger in der Low Carb-Gemeinde diskutiert, was zunächst einmal gar nichts mit Low Carb zu tun hat:
Das Thema Linolsäure (LA)
Diese Linolsäure kommt zwar auch in winzigen Mengen in tierischen Fetten aus artgerechter Haltung vor (ca. 1-2 Prozent) und gilt als essentiell, nur konsumieren wir als Gesellschaft diese Fettsäure inzwischen um den Faktor 10 bis 15 häufiger als das bis zum Jahr 1900 normal war. Denn in den Industrieölen wie:
- Sonnenblumenöl
- Rapsöl
- Maiskeimöl
- Baumwollsamenöl
ist diese Fettsäure in wesentlich höheren Mengen enthalten als in tierischen Lebensmitteln. Da wir diese Öle vor dem Jahr 1900 nicht hatten und somit nicht konsumiert haben, ist das ein gigantischer Eingriff. Denn das große Problem dieser Fettsäure ist, dass sie sehr leicht oxidiert. Das Thema hatten wir bereits hier in den News (siehe https://www.strunz.ch/ein-problematisches-oel.html). Wir wissen aus groß angelegten Interventionsstudien, also Studien, die einen Beweis zulassen, dass sich der Verzehr dieser Öle negativ auf unsere Gesundheit auswirkt. Und wir wissen inzwischen auch biochemisch, warum das der Fall ist. Heute möchte ich Ihnen noch zwei neue Erkenntnisse mit auf den Weg geben. Zunächst zur Biochemie, denn diese Studie zeigt uns das Problem sehr schön auf:

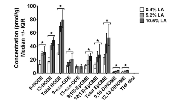
Was Sie hier sehen, ist der Anstieg von verschiedenen Oxidationsprodukten im Gehirn von Ratten nach dem Verzehr von unterschiedlichen Mengen dieser problematischen Fettsäure. Sie sehen, dass die Oxidationsprodukte stark ansteigen, wenn die Ratten mehr davon verzehrt haben.
Mit diesem Wissen im Hinterkopf schauen wir uns eine weitere Studie an. Hier wurden 56 Personen über 12 Wochen auf zwei Gruppen aufgeteilt: Eine Gruppe reduzierte lediglich die Omega-6-Fettsäure LA, die andere Gruppe nahm zusätzlich mehr Omega-3-Fettsäuren zu sich. Dieser Eingriff brachte folgendes Ergebnis zu Tage:

Unten in Blau sehen Sie die Gruppe, die nicht nur LA stark reduziert, sondern zusätzlich Omega-3 eingenommen hat. Sie sehen einen mehr als deutlichen Rückgang an Kopfschmerzen. Der Hintergrund ist hier, dass so die Oxidationsprodukte reduziert werden und entzündliche Prozesse körperweit, aber hier eben auch im Gehirn stark reduziert werden. Mit so einem einfachen Eingriff.
Gehen wir am Ende auch noch einmal kurz in uns:
- Wir Menschen essen seit ca. 3 Millionen Jahren tierisches Fett, welches bei artgerechter Haltung primär aus gesättigtem Fett besteht. Diese gesättigten Fette oxidieren nicht so einfach, auch wenn man sie stark erhitzt.
- Seit ungefähr 1900 drängt ein Kunstprodukt auf den Markt, da man diese Öle nicht mehr zum Schmieren von Maschinen brauchte und nicht wusste, wohin mit der Überproduktion. Diese Industrieöle sind reich an Antinährstoffen und eben dieser Linolsäure, die sehr schnell oxidiert und die sich leider in sehr vielen hoch verarbeiteten und auch veganen Produkten wiederfindet.
Was meinen Sie, ganz abgesehen von den Fakten: Welches Fett ist wohl eher ungesund für uns Menschen? Wirklich das Fett, welches wir seit ca. 3 Millionen Jahren verzehren? Ist nicht wirklich logisch, oder? Oder eher das Fett, welches erst seit 1900 auf den Markt gekommen ist und welches eine Zusammenstellung hat, die vollkommen anders ist als das, was der Mensch gewohnt ist?
Zum Abschluß noch ein Tipp wenn Sie unter häufigen Kopfschmerzen leiden: Einfach mal alle Quellen von Linolsäure entfernen und Omega-3 nebst Vitaminen für 12 Wochen ergänzen.
Quellen:
Linoleic acid–good or bad for the brain?, Ameer Y. Taha, 2020, DOI: 10.1038/s41538-019-0061-9
Targeted alteration of dietary n-3 and n-6 fatty acids for the treatment of chronic headaches: A randomized trial, Christopher E. Ramsden et al., 2013, DOI: 10.1016/j.pain.2013.07.028
Über den Autor:
“Robert Krug beschäftigt sich seit 2016 intensiv mit dem Thema Gesundheit und Ernährung im Hinblick auf die Biochemie des Menschen. Seit 2019 veröffentlicht Robert Krug Bücher zu den Themen genetisch korrekte Ernährung und zur ganzheitlichen Betrachtung des Menschen. Doch lassen wir ihn selbst einmal zu Wort kommen, wie er seinen Weg zur Biochemie gefunden hat:
"Ich liebe es, Probleme zu lösen. Das wird mit ein Grund dafür gewesen sein, dass ich 1994 Wirtschaftsinformatik studiert und warum ich leidenschaftlich gern Software programmiert habe.
Mein Weg zur ganzheitlichen Medizin erfolgte aus der Not heraus, da ich in 2016 selbst erkrankte und von der Schulmedizin leider keine Hilfe bekam. So fing ich an, mich Stück für Stück mit meinen Problemen zu beschäftigen und zu lesen, um den Problemen auf den Grund zu gehen. Also das gleiche Vorgehen wie bei der Arbeit. Das war sozusagen der Start für mein inzwischen leidenschaftliches Interesse an der Biochemie und somit der Start meiner Reise."
”
