Wir verwenden Cookies, um Ihre Erfahrung zu verbessern. Um die neuen Datenschutzrichtlinien zu erfüllen, müssen wir Sie um Ihre Zustimmung für Cookies fragen. Weitere Informationen
Low Carbler und die Schilddrüse
Ich habe schon mehrfach angemerkt, dass man für uns Low Carbler eigentlich eine spezielle „Betriebsanleitung“ bräuchte, da viele biochemische Abläufe fast logischerweise anders ablaufen. Es betrifft eben nicht nur den Blutzucker, der in ruhigen Bahnen um die 100 mg/dl unspektakulär gemessen wird, sondern auch viele Hormone. Insulin kennen wir bereits, Leptin (Sättigung) und Ghrelin (Hunger) haben wir auch schon einmal besprochen. Auch die Blutfette HDL, Triglyceride und LDL haben eine gesunde, weil normale Charakteristik. Neu hinzu kommt heute fT3, was fast fälschlicherweise als Schilddrüsenhormon bezeichnet wird. Dabei stellt die Schilddrüse das gar nicht her, sondern primär die Leber aus dem Schilddrüsenhormon fT4 (inaktives Hormon).
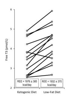
Was ist nun passiert? Es ist in den letzten Jahren aufgefallen, dass die Werte von fT3 im Rahmen einer ketogenen Ernährung, d.h. man reduziert die Kohlenhydrate auf unter 30 Gramm am Tag, stark fallen. Und darüber hat man sich nun zu Recht Sorgen gemacht, genauso wie man sich zunächst Sorgen macht, wenn LDL auf Werte über 300 mg/dl steigt (siehe https://www.strunz.ch/ldl-besser-verstehen.html). Man nahm zunächst fälschlicherweise an, dass durch diese Ernährungsform eine zu geringe Schilddrüsenleistung ausgelöst wird. Hier müsste man direkt korrigieren: eine zu geringe Umwandlung oder Aktivierung in der Leber von fT4 zu fT3. Doch schauen wir uns das Phänomen genau an, denn auch Jeff Volek und Stephen Phinney haben diese Werte bemerkt. In der in 2004 durchgeführten Studie von Jeff Volek wurden folgende Werte ermittelt:

In der Studie hat Volek 28 übergewichtige Teilnehmer abwechselnd auf eine Ernährung mit vielen Kohlenhydraten (HC) oder eben auf eine ketogene Ernährung fast ohne Kohlenhydrate (LC/Keto) gesetzt. Zudem haben alle Teilnehmer ca. 500 kcal weniger Energie zu sich genommen. Die Männer haben jeweils 50 Tage eine Version gegessen, die Frauen 30 Tage. Was man bezüglich des Hormons fT3 feststellte: Wenn die ketogene Ernährung konsumiert wurde, waren die fT3-Werte signifikant niedriger, aber die metabolische Rate, die ebenfalls gemessen wurde, war nicht nur stabil, sondern sogar etwas höher. Zudem blieben die TSH-Werte konstant. Auf das gleiche Ergebnis kommt Bisshop in seiner Studie mit 6 Personen, ebenfalls alternierend auf verschiedenen Ernährungsformen. Wie kann man das nun interpretieren? Ich zitiere Stephen Phinney:
„Sie bekommen bei der ketogenen Ernährung mehr für Ihr Geld.“
Das bedeutet: Ihr Körper benötigt für den gleichen Energieumsatz weniger fT3, so wie er eben auch weniger Insulin benötigt, um auch weniger Kohlenhydrate in die Muskeln zu bekommen. Ich kann bei mir auch exakt diesen Effekt seit 2017 sehen. Ich selbst esse seit 2017 ca. 80 bis 120 Gramm Kohlenhydrate am Tag (Low Carb) und sehe, dass meine fT3-Werte seit 2017 ca. 20 Prozent zurückgegangen sind, bei konstanten fT4- und TSH-Werten.
Am Ende sei noch angemerkt, dass Jeff Volek in der Studie aufzeigen konnte, dass die Teilnehmer mit der ketogenen Ernährung wesentlich mehr Fett abbauen konnten als mit der Variante „Fettarm und viele Kohlenhydrate“. Das war uns natürlich schon klar, ich erwähne es einfach trotzdem am Ende.
Quellen:
Comparison of energy-restricted very low-carbohydrate and low-fat diets on weight loss and body composition in overweight men and women, JS Volek et al., 2004, DOI: 10.1186/1743-7075-1-13
Isocaloric carbohydrate deprivation induces protein catabolism despite a low T3-syndrome in healthy men, P. H. Bisschop et al, 2001, DOI: 10.1046/j.1365-2265.2001.01158.x
Über den Autor:
“Robert Krug beschäftigt sich seit 2016 intensiv mit dem Thema Gesundheit und Ernährung im Hinblick auf die Biochemie des Menschen. Seit 2019 veröffentlicht Robert Krug Bücher zu den Themen genetisch korrekte Ernährung und zur ganzheitlichen Betrachtung des Menschen. Doch lassen wir ihn selbst einmal zu Wort kommen, wie er seinen Weg zur Biochemie gefunden hat:
"Ich liebe es, Probleme zu lösen. Das wird mit ein Grund dafür gewesen sein, dass ich 1994 Wirtschaftsinformatik studiert und warum ich leidenschaftlich gern Software programmiert habe.
Mein Weg zur ganzheitlichen Medizin erfolgte aus der Not heraus, da ich in 2016 selbst erkrankte und von der Schulmedizin leider keine Hilfe bekam. So fing ich an, mich Stück für Stück mit meinen Problemen zu beschäftigen und zu lesen, um den Problemen auf den Grund zu gehen. Also das gleiche Vorgehen wie bei der Arbeit. Das war sozusagen der Start für mein inzwischen leidenschaftliches Interesse an der Biochemie und somit der Start meiner Reise."
”
