Wir verwenden Cookies, um Ihre Erfahrung zu verbessern. Um die neuen Datenschutzrichtlinien zu erfüllen, müssen wir Sie um Ihre Zustimmung für Cookies fragen. Weitere Informationen
Hirnschäden durch Kuchen und Eiscreme
Die Zahl der Parkinson- und Alzheimer-Erkrankungen nimmt rapide zu. Außerdem leiden immer mehr Menschen an Depressionen und ADHS oder anderen psychischen Problemen. Die Mechanismen, die dahinterstecken sind komplex und oft ist es nicht nur ein Faktor, der zu den Erkrankungen führt.
Gestörte Ammoniak-Entsorgung
Ammoniak entsteht natürlicherweise beim Abbau von Aminosäuren und wird daraufhin zu ungefährlichem Harnstoff weiter verstoffwechselt. All das geschieht in der Leber. Ist der Abbau zu Harnstoff gestört, breitet sich Ammoniak über den Blutkreislauf im gesamten Körper aus. Es kann bis ins Gehirn gelangen. Ammoniak wirkt toxisch, besonders auf Gehirnzellen. Kein Wunder, dass es mittlerweile viele Hinweise darauf gibt, dass neurodegenerative Erkrankungen aber auch Probleme wie Angststörungen, Depressionen oder ADHS mit erhöhten Ammoniakkonzentrationen im Gehirn einhergehen.
Ein entscheidendes Enzym
Ammoniak wird in der Leber über den sogenannten Harnstoff-Zyklus entsorgt. Dazu baut ein bestimmtes Enzym (Carbamoylphosphat-Synthetase, kurz CPS) Ammoniak zunächst in einen anderen Stoff um (Carbamoylphosphat). Dieser Stoff wird daraufhin in den Harnstoffzyklus eingeschleust. Der Harnstoff wird über die Nieren ausgeschieden.
Die Aktivität des Enzyms hängt von Insulin ab
Insulin wirkt hier als Genschalter. Es sorgt dafür, dass genügend Enzyme (CPS) gebildet werden. Gibt es nicht genug dieser Enzyme, reichert sich Ammoniak an. Nun könnte man denken, wunderbar, dann muss ich nur viel Kuchen und Eiscreme essen, dann steigt erst der Blutzuckerspiegel und dann der Insulinspiegel. Das Insulin stellt die Gene zur Herstellung des Enzyms (CPS) an, das gefährliche Ammoniak verschwindet.
Insulinresistenz ist das Problem
Falsch gedacht. Zu hohe Blutzuckerspiegel und zu häufige hohe Insulinspiegel lassen die Zellen nicht mehr richtig auf Insulin reagieren. Unter anderem dringt immer weniger Insulin in die Leberzellen ein. Das nennt sich Insulinresistenz. Fehlt Insulin, nimmt die Aktivität des Enzyms (CPS) ab.
Die Folge: Erhöhte Ammoniak-Konzentrationen
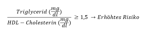
Da Ammoniak ein Gas ist, kann man es nur sehr schwer direkt im Blut messen. Glücklicherweise ist eine Insulinresistenz aber leicht feststellbar. Sie müssen nur Ihren HDL-Cholesterin- und Ihren Triglycerid-Spiegel kennen. Das sind zwei Werte, die oft auch in Hausarztpraxen gemessen werden. Ihnen sollten die Werte in mg/dl vorliegen. Falls Sie auf ihrem Laborbogen in mmol/l angegeben sind, suchen Sie sich eine Internetseite, die die Umrechnung für Sie übernimmt.
Ermitteln Sie den Quotienten. Ist er kleiner als 1,5, ist eine Insulinresistenz unwahrscheinlich. Liegt er bei 1,5 oder höher, ist eine Insulinresistenz wahrscheinlich.

Quellen: Yokoyama M. The Urea Cycle Step by Step. 25.04.2021. News Medical. Unter: https://www.news-medical.net/health/The-Urea-Cycle-Step-by-Step.aspx. Letzter Zugriff 22.05.2023 Wilcox G. Insulin and insulin resistance. Clin Biochem Rev. 2005;26(2):19-39.
Über die Autorin:
"Dr. Kristina Jacoby arbeitet seit 2014 Dr. U. Strunz bei der Erstellung seiner Bücher zu. Besonders fasziniert ist sie von den physiologischen Abläufen im Organismus sowie den Möglichkeiten diese mit Lebensstilveränderungen positiv zu beeinflussen.
Physiologie und Genetik waren ihre Schwerpunkte in ihrem Biologie-Studium, welches sie 2002 abschloss. Von 2004 bis 2010 studierte und promovierte sie an der Deutschen Sporthochschule Köln. Seit 2008 beschäftigt sie sich intensiv mit Meditation und praktiziert täglich.
Das sagt sie selbst zu Ihrer Tätigkeit:
„Jede Krankheit basiert auf Schieflagen im Organismus, die man aufspüren und verändern kann. Davon bin ich überzeugt. Mittlerweile gibt es etliche wissenschaftliche Veröffentlichungen, die das bestätigen. Leider ist das Wissen noch nicht in den Arztpraxen angekommen. Daher möchte ich dazu beitragen, dass möglichst viele Menschen von diesen Möglichkeiten der Heilung erfahren und in die Lage versetzt werden, sie umzusetzen.“"
