Wir verwenden Cookies, um Ihre Erfahrung zu verbessern. Um die neuen Datenschutzrichtlinien zu erfüllen, müssen wir Sie um Ihre Zustimmung für Cookies fragen. Weitere Informationen
Drei spannende Fakten über Insulin
Ich möchte Ihnen heute drei wichtige Fakten von Professor Ben Bikman, meinem Dozenten für Biochemie und speziell Insulin, darstellen, da dort zwei interessante Aspekte dabei sind, die ich so bislang noch nicht kannte.
I) Wir wissen, dank Dr. Strunz, dass wir durch den Verzehr von Kohlenhydraten einen Schalter in unserem Körper bedienen können, wobei es mehr ein Drehregler ist, denn in der Biochemie ist selten etwas komplett an oder aus, sondern es gibt linear verlaufende Übergänge von 50 Prozent hin zu 100 Prozent oder eben 0 Prozent. Dieser Drehregler bestimmt, wie viele Kohlenhydrate oder eben Fettsäuren in unseren Zellen in Energie umgewandelt werden. Der biochemische Hintergrund im Menschen heißt, sie werden es ahnen:
Insulin
Wenn Insulin hoch ist, verbrennen die Zellen nur noch Kohlenhydrate. Wenn Insulin niedrig ist, verbrennt der Körper Kohlenhydrate und Fettsäuren und stellt Ketonkörper her. Der Gegenspieler von Insulin ist Glukagon. Doch Glukagon kann nur wirken, wenn Insulin niedrig ist.
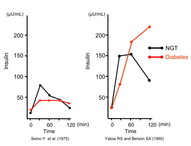
II) Was ich die Tage gelernt habe und extrem spannend finde: Unsere Herkunft bestimmt, was ein niedriger Insulinspiegel genau ist. Die Wissenschaft weiß das eigentlich schon sehr lange, ich aber erst seit einigen Tagen: Asiaten haben generell einen viel niedrigeren Insulinspiegel im Vergleich zu uns Kaukasiern, sprich Mitteleuropäern, schauen Sie selbst:

Hier wurde mit den Menschen ein sogenannter Glukose-Toleranz-Test durchgeführt. Man sieht sofort: Man kann diese beiden Bevölkerungsgruppen ganz offensichtlich beim Thema Insulinspiegel nicht miteinander vergleichen. Gerade für Asiaten sehr wichtig zu wissen, denn das Thema Diabetes Typ-2 ist dort inzwischen genauso prominent vertreten wir bei uns in Europa.
III) Der dritte Punkt ist wieder für alle von uns gleich spannend. Bin Bikman wurde gefragt, was passiert, wenn man sich Low Carb ernährt, der Insulinspiegel perfekt normal (niedrig) ist, und man zu viel Fett isst. Ob man davon dick wird? Sie wissen ja, wenn wir zu viele Kohlenhydrate essen, das Hauptproblem unserer Zeit, steigt Insulin an (wie auch im Bild sehr schon zu sehen ist) und Insulin weist die Zellen an, Fett einzulagern und eben Kohlenhydrate zu verbrennen. Daher diese extrem spannende Frage:
Was passiert bei zu viel Fett und einem normalen Insulinspiegel?
Und diese Antwort überrascht mich ein wenig, denn Ben Bikman antwortet: Der Körper verbrennt diese Fettsäuren, eben weil Insulin niedrig ist. Wenn Insulin niedrig ist, lager er keine Fettsäuren in unseren Fettzellen ein und die einzige Möglichkeit, die der menschliche Körper dann hat, ist, den Umsatz zu erhöhen (Schilddrüse), um mehr Fettsäuren zu verbrennen. Das könnte ein weiteres Geheimnis sein, warum eine Ernährung auf Basis von Low Carb bessere Erfolge beim Abnehmen erzielt. Wenn Sie mal zu viel Fett im Rahmen einer Low Carb-Ernährung essen, dann nehmen Sie zwar in diesem Moment nicht ab, verbrennen sozusagen kein eigenes Fett, aber sie lagern dieses zu viel gegessene Fett nicht ein, sondern es wird verbrannt und ganz wichtig, der Insulinspiegel bleibt niedrig.
Genau das passiert bei einer kohlenhydratreichen Ernährung nicht. Wenn sie hier zu viel Kohlenhydrate essen, dann schüttet der Körper Insulin aus, wandelt diese Kohlenhydrate in Fettsäuren (Triglyceride) um und lagert diese ein ins Fettgewebe. Wenn Sie in diesem Moment zusätzlich Fett essen, lagert der Körper das Fett ebenfalls ein.
Quelle: Pathogenesis of type 2 diabetes in Japan and East Asian populations: Basic and clinical explorations, Yutaka Seino et al., 2025, DOI: 10.2183/pjab.101.009
Über den Autor:
“Robert Krug beschäftigt sich seit 2016 intensiv mit dem Thema Gesundheit und Ernährung im Hinblick auf die Biochemie des Menschen. Seit 2019 veröffentlicht Robert Krug Bücher zu den Themen genetisch korrekte Ernährung und zur ganzheitlichen Betrachtung des Menschen. Doch lassen wir ihn selbst einmal zu Wort kommen, wie er seinen Weg zur Biochemie gefunden hat:
"Ich liebe es, Probleme zu lösen. Das wird mit ein Grund dafür gewesen sein, dass ich 1994 Wirtschaftsinformatik studiert und warum ich leidenschaftlich gern Software programmiert habe.
Mein Weg zur ganzheitlichen Medizin erfolgte aus der Not heraus, da ich in 2016 selbst erkrankte und von der Schulmedizin leider keine Hilfe bekam. So fing ich an, mich Stück für Stück mit meinen Problemen zu beschäftigen und zu lesen, um den Problemen auf den Grund zu gehen. Also das gleiche Vorgehen wie bei der Arbeit. Das war sozusagen der Start für mein inzwischen leidenschaftliches Interesse an der Biochemie und somit der Start meiner Reise."
”
